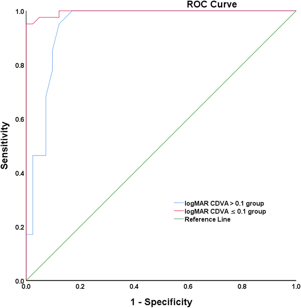
Fig. 4From: Utility of the optical quality analysis system for decision-making in Nd: YAG laser posterior capsulotomy in patients with light posterior capsule opacityThe ROC curves for the OSI in logMAR CDVA > 0.1 group and logMAR CDVA ≤0.1 groupBack to article page