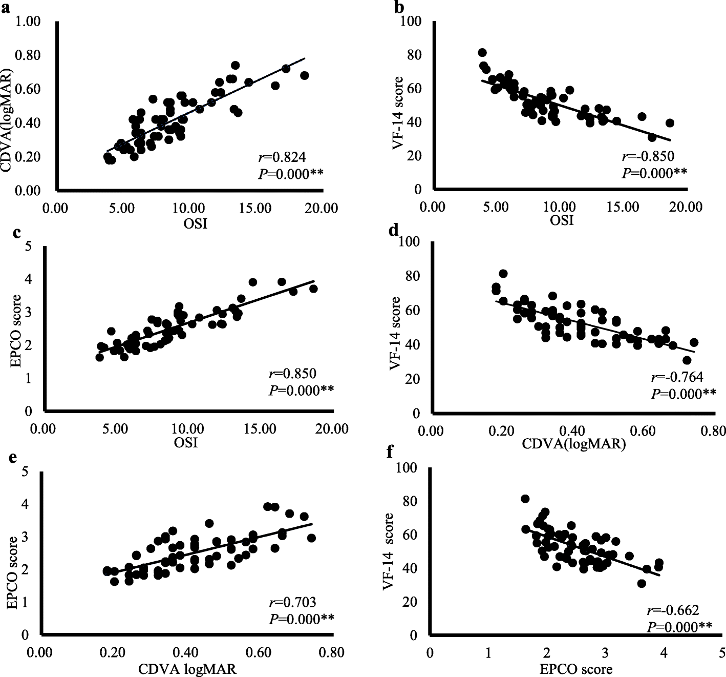
Fig. 2

The correlations of visual function parameters in logMAR CDVA > 0.1 group preoperatively. Correlation of OSI with logMAR CDVA (a), VF-14 score (b), and EPCO score (c). Correlation of logMAR CDVA with VF-14 score (d) and EPCO score (e). Correlation of VF-14 score and EPCO score (f). r Pearson’s correlation coefficient; **P < 0.01